A.交流配电
B.直流配电
C.直流一直流转换
D.开关整流
已帮助 35 人解答此问题 查看答案及解析
A.3mm
B.4mm
C.5mm
D.6mm
已帮助 33 人解答此问题 查看答案及解析
A.铜排
B.铜芯缆
C.软母线
D.硬母线
已帮助 135 人解答此问题 查看答案及解析
A.基础
B.地基
C.上覆
D.墙体
已帮助 62 人解答此问题 查看答案及解析
A.铠装缆保护
B.钢管保护
C.挡土墙保护
D.护坎保护
已帮助 132 人解答此问题 查看答案及解析
A.用户的反映
B.控制信道的拥塞
C.业务信道的拥塞
D.业务信道分配中的失败
E.话务统计
已帮助 64 人解答此问题 查看答案及解析
A.通信频带宽
B.存在回波干扰
C.保密性差
D.存在日凌中断和星蚀现象
已帮助 70 人解答此问题 查看答案及解析
A.光缆结构复杂
B.环境性能好
C.生产工艺环节繁琐
D.光纤数量多
E.材料消耗多
已帮助 122 人解答此问题 查看答案及解析
A.使三个地区性标准在STM-I等级以上获得统一,实现了数字传输体制上的世界性标准
B.采用了同步复用方式和灵活的复用映射结构,使网络结构得以简化
C.频带利用率较PDH有所提高
D.SDH帧结构中安排了丰富的开销比特,使网络的OAM能力有所减弱
E.与现有网络能完全兼容,还能容纳各种新的业务信号,即具有完全的后向兼容性和前向兼容性
已帮助 126 人解答此问题 查看答案及解析

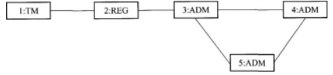
A.1—2
B.1—3
C.1—4
D.1—5
E.3—4
已帮助 120 人解答此问题 查看答案及解析