A.建设单位
B.涉及总责任单位
C.代建单位
D.施工总承包单位
E.工程总承包企业
已帮助 61 人解答此问题 查看答案及解析
A.改进施工方法
B.选择高效的施工机具
C.调整项目管理工作流程组织
D.调整进度控制的方法和手段
E.调整项目管理任务分工
已帮助 116 人解答此问题 查看答案及解析
A.工程概况
B.施工部署
C.施工方法和工艺要求
D.施工准备与资源配置计划
E.施工现场平面布置
已帮助 39 人解答此问题 查看答案及解析

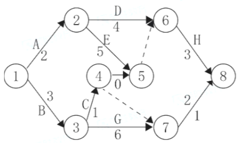
A.工作C、D应同时完成
B.工作B的紧后工作只有工作C、D.
C.工作C、D完成后即可进行工作G
D.工作D完成后即可进行工作F
已帮助 135 人解答此问题 查看答案及解析

A.有多个起点节点
B.工作表示方法不一致
C.节点编号不连续
D.有多余时间参数
已帮助 31 人解答此问题 查看答案及解析

A.节点编号不对
B.逻辑关系不对
C.有多个终点节点
D.有多个起点节点
已帮助 99 人解答此问题 查看答案及解析

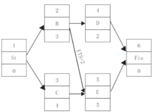
A.TFc=1
B.FFB=2
C.LSD=8
D.LSE=5
E.LFc=5
已帮助 69 人解答此问题 查看答案及解析

A.有多个起点节点
B.有多个终点节点
C.存在循环回路
D.有多余虚工作
E.节点编号有误
已帮助 39 人解答此问题 查看答案及解析
A.办理管理权移交
B.办理项目资料归档
C.进行竣工决算
D.对项目人员进行考核评价
E.解散项目部
已帮助 29 人解答此问题 查看答案及解析
A.漏报项目
B.报价计算错误
C.工程范围不确定
D.工程量计算错误
E.物价和人工费上涨
已帮助 43 人解答此问题 查看答案及解析